The importance of filtration during sampling in reaction screening
When conducting reactions using a heterogeneous catalyst, it is paramount to ensure that the amount of catalyst is constant for the results of a reaction to be reliable and scalable. This can be an issue when taking samples of the reaction to track its progression, as the catalyst can be drawn with the sample. The removal of catalyst can cause unreliable results, as less catalyst will reduce the efficiency of a reaction and can reduce the final yield, or give impurities and side products. Therefore, it is necessary to use filtration during sampling as an important process in preparing samples as part of reaction screening.
Filtration is also a vital step in analytical testing. By removing suspended solids and undissolved particles, it improves the precision of techniques like HPLC, producing cleaner samples and accurate results. Filtration also safeguards sensitive instruments by preventing blockages, scratches, and damage, ensuring consistent performance. In addition, it improves data quality by increasing clarity, enhancing signal-to-noise ratios and the prevention of cross-contamination leading to more reproducible outcomes.
Overall, it is far more than a preparatory step. It is an essential process that enhances data quality, protecting equipment, and enabling accurate results across process chemistry analysis. To meet these requirements on the ReactALL, Technobis has released new quartz filters.

ReactALL new quartz frits in 3 sizes, for efficient filtration in reaction screening.
Testing the quartz filters
The new quartz filters improve over the initial metal design by providing 3 different pore sizes, designed for durability, precision, with excellent chemical and thermal resistance.
The performance of the filters was demonstrated through a series of heterogeneous reactions conducted using the ReactALL.
The case studies below focus on the measurement of HPLC absorbance, comparing both the homogeneous and heterogeneous components of the reactions under varying pore sizes and against traditional manual filtration. By analysing the data, the study highlights the efficiency and consistency of the filters in separating components of different phases.
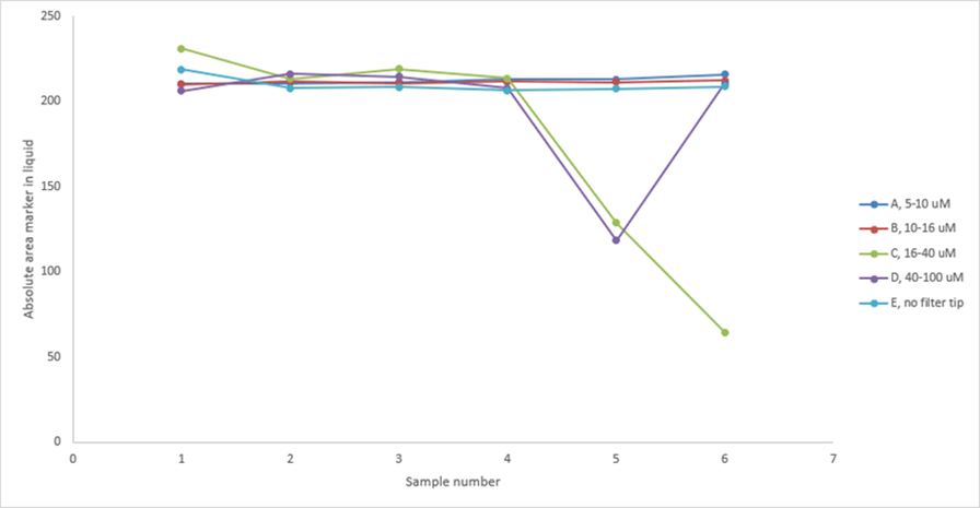
Case study 1: filtration for a homogeneous reactant
For the homogeneous reactant (Figure 1) the absorbance values remained at a constant level across multiple samples, regardless of pore size. This consistency indicates that the homogeneous component was not significantly affected by the filtration process and that the filtered samples closely matched the results obtained through manual filtration. Such consistency demonstrates that the filters do not interfere the concentration of the homogeneous reactant, thereby preserving the integrity of the reaction samples.

Figure 1. UV-HPLC absorbance for homogeneous component of reaction with different filter sizes
Case study 2: filtration for a heterogeneous component
In contrast, the heterogeneous component showed a notable and consistent reduction across the filtered samples (Figure 2). The graphs shows that even as the pore sizes changes, the filters were still able to effectively remove and reduce the presence of the heterogeneous reactant. This reduction highlights the ability of the filtration system to maintain reaction clarity while improving reproducibility compared to manual methods, which can often introduce variability depending on user technique.

Figure 2. UV-HPLC absorbance for heterogenous component of reaction with different filter sizes
Conclusion
Overall, the findings from this case study validate the efficiency of the filtration system integrated into the ReactALL. The filters not only preserved the homogeneous reactants but also reliably reduced heterogeneous components, ensuring cleaner and more consistent results without blocking. Compared to manual filtration, this automated approach offers both improved accuracy and operational simplicity, making it a valuable tool for laboratory workflows.
Book a demo
Curious to see how the ReactALL can help you chemical process R&D? Book a demo - online or in your lab!