The importance of measuring and controlling pH in reaction monitoring
Controlling pH is a critical factor in process chemistry because it directly influences the success of reactions, the quality of intermediates, and the stability of final drug products. Reaction rates often depend on pH, since protonation states determine whether a transformation proceeds quickly or slowly, and this in turn affects overall yield. Beyond kinetics, pH also governs selectivity: certain side reactions can be suppressed by carefully choosing acidic or basic conditions, ensuring that the desired product pathway dominates. Stability is another key concern, as many intermediates and active pharmaceutical ingredients degrade rapidly under extreme pH, leading to unwanted by-products or loss of potency.
Monitoring and controlling pH is essential during reaction screening, as it significantly impacts experimental outcomes. The new ReactALL pH Probe enables real-time, in-situ pH measurement throughout an experiment, ensuring optimal control and reproducibility.
New in-situ pH probe for ReactALL
The new ReactALL pH probe features a buffered gel reference at the sensor tip and measures pH by drawing up the sampling shaft, wetting the sensor for a rapid response within seconds. It includes an automatic wash cycle to maintain cleanliness and accuracy between measurements. Using pulsed measurement technology, it is possible to take a measurement every 20 seconds.
The probe is made from PEEK, a high chemical resistance plastic replacing the traditional thin fragile glass of common pH probe, making it more robust and much less likely to break, despite being only 3 mm in diameter. Additionally, because of its thin diameter, it is directly integrated into the SmartCap system, allowing for in-situ measurements. The probe supports multi-point custom calibration with user-defined buffers. There is wireless communication between the probe and the software, making it compatible with further automation and robotics, allowing up to 5 probes running in parallel.

The pH probe is directly integrated into the ReactALL's SmartCap system, allowing for in-situ measurements
Case study: using the pH probe in real time reaction experiments
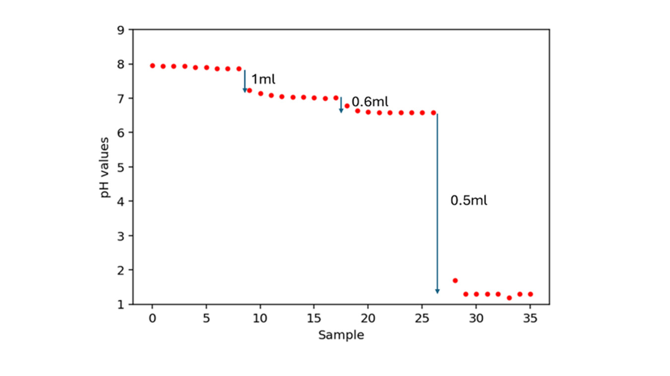
The pH functionality of the software allows for continuous and precise monitoring of reactions in real time. To demonstrate its effectiveness, an acid–base titration was performed using 1 M sodium bicarbonate (NaHCO₃) and 2 M hydrochloric acid (HCl) with ReactALL's automated dosing module - the DoseALL. The NaHCO₃ solution initially exhibited a slightly basic pH of 8 (Figure 1). Upon the addition of 1 mL of HCl, the pH decreased to 7, indicating neutralization of some of the bicarbonate. A further 0.6 mL addition of HCl lowered the pH to 6.5, showing progression toward acidity. Finally, an additional 0.5 mL of HCl resulted in a sharp drop to pH 1.3, confirming complete neutralization and excess acid in the solution.
These results highlight the precision and responsiveness of the integrated pH monitoring feature, demonstrating its utility in accurately tracking titrations and reaction progress. The experiment underscores how the software enhances control and insight during chemical processes.

Figure1. pH measurement of NaHCO3 (aq) with HCl addition.

The experiment process is easy to set up in the software.
Conclusion
With its combination of precision, durability, and automation compatibility, the ReactALL pH Probe represents a major advancement in reaction monitoring—providing chemists with a reliable tool to measure and control pH continuously, improving both efficiency and data quality in experimental research.
Book a demo
Curious to see how the ReactALL can help you chemical process R&D? Book a demo - online or in your lab!